Как перевести амперы в киловатты
Местная Конституция | FAQ - Часто задаваемые вопросы | Для новичков! | Реклама на форуме! | Публикация сообщений | Как вставить картинку или файл
Помните, поблагодарить автора за интересное сообщение, вы можете - нажав
или повысить его репутацию - нажав
в сообщении.Прежде чем задать вопрос, воспользуйтесь поиском - возможно, что такая тема уже есть на форуме. За нарушение правил Ваш вопрос может быть удален без объяснения причин!
Создавать темы в этом разделе могут только члены клуба электриков и VIP-пользователи - Как вступить в "Клуб электриков" и стать VIP-пользователем?
Как перевести амперы в киловатты
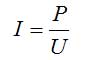
- Ватт = Ампер * Вольт:
- Ампер = Ватты / Вольт:
Для того чтобы Ватты (Вт) перевести в киловатты (кВт) нужно полученное значение разделить на 1000. То есть в 1000 Вт = 1 кВт.
Стабилизаторы напряжения Энергия.
Все тематические вопросы и ответы на них, только на форуме! В личку по электрике не отвечаю.
Как перевести амперы в киловатты
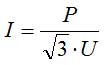
- Ватт = √3 * Ампер * Вольт:
- Ампер = Ватты / (√3 * Вольт):
Итак, например, рассчитывая ток, который будет течь по проводам при включении электрического чайника мощностью 2 кВт (2000 Ватт) и с переменным напряжением в сети 220 Вольт, следует применить следующую формулу. Разделить 2 КВт на 220 вольт. В итоге получим 9 – это и будет количество Ампер.
По сути это не малый ток, поэтому, подбирая кабель, следует учитывать его сечение. Провода, изготовленные из алюминия могут выдерживать значительно меньшие нагрузки, чем медные того же сечения.
Но и слишком тонкие провода из меди тоже могут не выдержать нагрузки. В лучшем случае они просто перегорят или «выбьет» автоматы. В худшем – может стать причиной пожара. Поэтому подходить к выбору автоматов и сечения провода нужно крайне ответственно.
Стабилизаторы напряжения Энергия.
Все тематические вопросы и ответы на них, только на форуме! В личку по электрике не отвечаю.
-
Строительная доска объявлений
Объявления на нашей доске просматриваются большим количеством посетителей, переходят из рук в руки и всегда имеют хороший отклик.
Рекомендуемый контент
-
-
Как перевести в деньги потребляемую электроэнергию?
glukoza76 » 28 дек 2010, 02:01 » в форуме Вопросы от чайников - 6
- 618
-
glukoza76
28 дек 2010, 13:02
-
Вернуться в «Ваш репетитор - теория»
Кто на форуме
Сейчас этот форум просматривают: archive.org_bot и 0 гостей
Загрузка. Подождите...
























