Прежде чем задать вопрос, воспользуйтесь поиском - возможно, что такая тема уже есть на форуме. За нарушение правил Ваш вопрос может быть удален без объяснения причин!
Помогите рассчитать токи по закону Ома,и скажите правильно ли я составил уравнения потенциалов? Если кто может помочь с разъяснениями например по скайпу то буду премного благодарен:) Вот логин: inanocoder Всем заранее спасибо
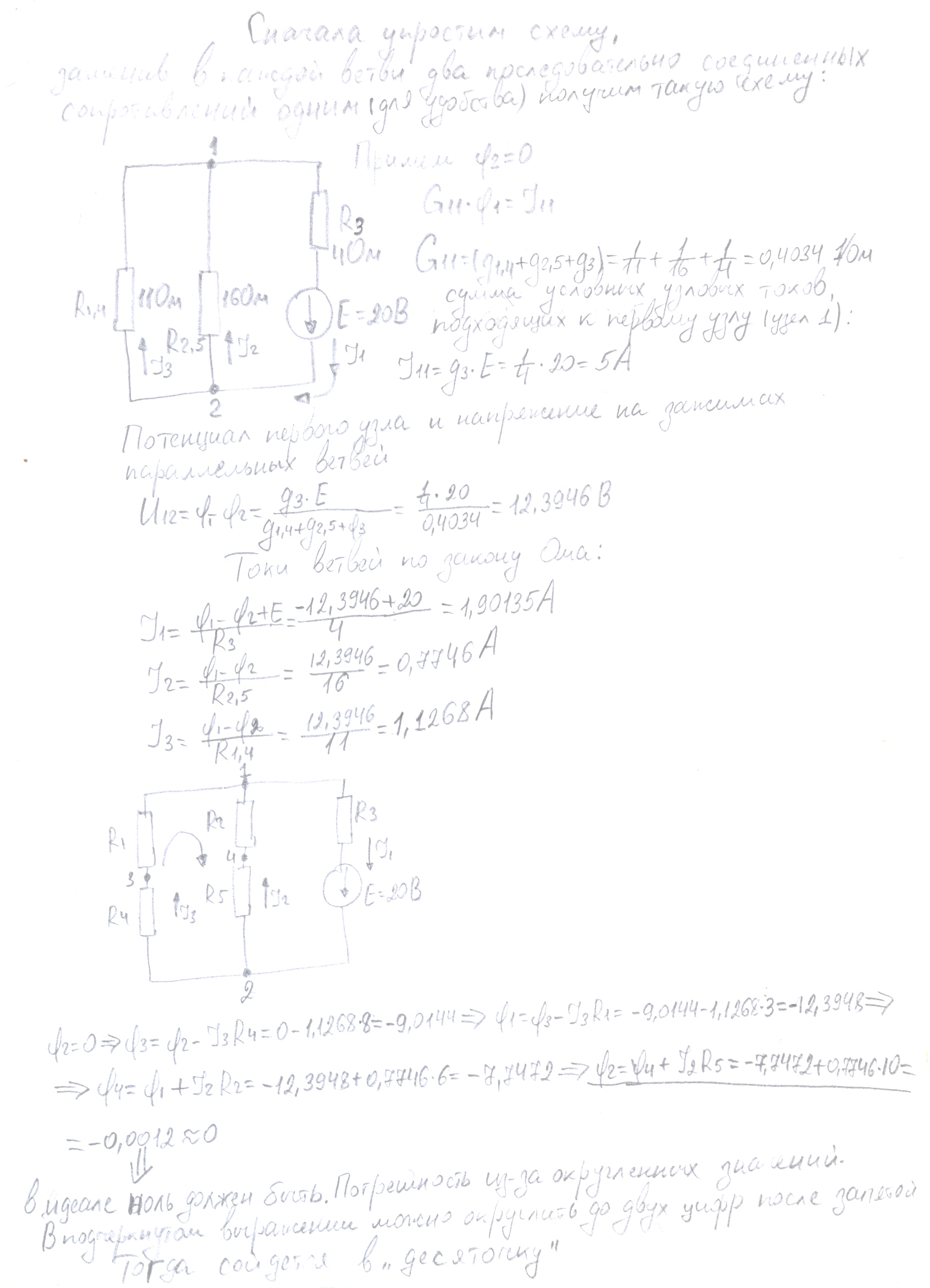
Заземляется один из узлов схемы. Т.е. на вашей схеме сообразно вашим буквенным обозначениям заземлять надо либо точку d либо точку b, и двигаться по контуру, вычисляя потенциалы. А вы заземлили середину контура между сопротивлениями. А надо узел. Иначе запутаетесь с составлением уравнений. А решать надо методом узловых потенциалов? Или все равно как?
Учиться никогда не поздно Раньше я завидовал тем, кто получал больше меня. Теперь я завидую тем, кто ходит на работу с удовольствием
Всего посетителей: 1, из них зарегистрированных: 1, скрытых: 0 и гостей: 0 (основано на активности пользователей за последние 10 минут) Больше всего посетителей (279) здесь было 04 сен 2013, 16:45
Сейчас эту тему просматривают: archive.org_bot и гости 0