Нужны значения кратности пускового тока сварочного транса
Местная Конституция | FAQ - Часто задаваемые вопросы | Для новичков! | Реклама на форуме! | Публикация сообщений | Как вставить картинку или файл
Помните, поблагодарить автора за интересное сообщение, вы можете - нажав
или повысить его репутацию - нажав
в сообщении.Прежде чем задать вопрос, воспользуйтесь поиском - возможно, что такая тема уже есть на форуме. За нарушение правил Ваш вопрос может быть удален без объяснения причин!
Консультации и обсуждение вопросов связанных с проектированием систем электроснабжения и электроосвещения, производятся только для членов клуба электриков и VIP-пользователей!
Создавать темы в этом разделе могут только члены клуба электриков и VIP-пользователи - Как вступить в "Клуб электриков" и стать VIP-пользователем?
-
Normal
Автор темы - Новенький
Нужны значения кратности пускового тока сварочного транса
Описание проблемы: Данная характеристика необходима для выбора аппарата защиты, автоматического выключателя.
Описание оборудования: Трехфазный сварочный трансформатор 12 кВт, ПВ=40%, cos=0,5.
Какие действия предпринимали: Возможно есть сборник с характеристиками оборудования, но как его найти не знаю. Поделитесь инфой если есть и если не жалко )
После чего возникла проблема:
Изображение (фото):
Использовали ли Вы поиск: Поиск по форуму ничего не дал, поиск в сети также. Сайты продавцов такую информацию не содержат, к сожалению.
Спасибо!
Re: Нужны значения кратности пускового тока сварочного транса
Все тематические вопросы и ответы на них, только на форуме! В личку по электрике не отвечаю.
-
Normal
Автор темы - Новенький
Re: Нужны значения кратности пускового тока сварочного транса
Re: Нужны значения кратности пускового тока сварочного транса
Все тематические вопросы и ответы на них, только на форуме! В личку по электрике не отвечаю.
-
Normal
Автор темы - Новенький
Re: Нужны значения кратности пускового тока сварочного транса
Подумал, что на этом расчет не окончен, с асинхронными разобрался, а вот на сварочнике встрял.
Конкретная задача, никогда не проектировал промышленные объекты.
- Вложения
-

- Нужны значения кратности пускового тока сварочного транса - Расчет транса.JPG (10.89 КБ) 1173 просмотра

- Нужны значения кратности пускового тока сварочного транса - Расчет транса.JPG
(10.89 КБ) 1173 просмотра
Re: Нужны значения кратности пускового тока сварочного транса
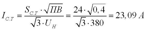
Условная трехфазная номинальная мощность равна рн.у=3*рн. Полная нагрузка Sм=рн.у/cosфи. И потом уже Iм=Sм/31/2*Uн (Uн=0,38)
Тоже что-то давно не решал. Но, по-моему так. У меня получилось 11,54А. Можно в Ворде попонятнее написать, но не сегодня.
Все тематические вопросы и ответы на них, только на форуме! В личку по электрике не отвечаю.
-
Normal
Автор темы - Новенький
Re: Нужны значения кратности пускового тока сварочного транса
Re: Нужны значения кратности пускового тока сварочного транса
Есть у меня еще хороший материал. Можете более детально вникнуть. Самое интересное с 21-ой страницы.
Все тематические вопросы и ответы на них, только на форуме! В личку по электрике не отвечаю.
-
Normal
Автор темы - Новенький
Re: Нужны значения кратности пускового тока сварочного транса
- 116rus
- Мастер

Re: Нужны значения кратности пускового тока сварочного транса
-
Строительная доска объявлений
Объявления на нашей доске просматриваются большим количеством посетителей, переходят из рук в руки и всегда имеют хороший отклик.
Рекомендуемый контент
-
-
Подгорают контакты пускового реле Вложения
AlEkSeYkOrNy » 29 июн 2012, 15:12 » в форуме Электрооборудование, электротехника - 41
- 6143
-
Anatoliy
20 июн 2014, 23:35
-
-
-
Неполнофазный режим работы транса
MaK » 20 окт 2010, 20:13 » в форуме Электрооборудование, электротехника - 1
- 2088
-
миш
20 окт 2010, 21:13
-
-
-
Проектирование фундамента дренажной системы транса
Dimmitriy » 23 апр 2010, 10:58 » в форуме Общие темы по электрике - 2
- 835
-
Dimmitriy
23 апр 2010, 12:55
-
-
-
Расчёт Сварочного Трансформатора. Вложения
electrohoz » 04 янв 2014, 20:02 » в форуме Программы по электрике - 0
- 877
-
electrohoz
04 янв 2014, 20:02
-
-
-
Подключение сварочного аппарата
Nesnakomez » 20 сен 2010, 22:09 » в форуме Электрооборудование, электротехника - 6
- 1389
-
Nesnakomez
20 сен 2010, 23:51
-
Вернуться в «Электропроектирование»
Кто на форуме
Сейчас этот форум просматривают: archive.org_bot и 0 гостей
Загрузка. Подождите...



















