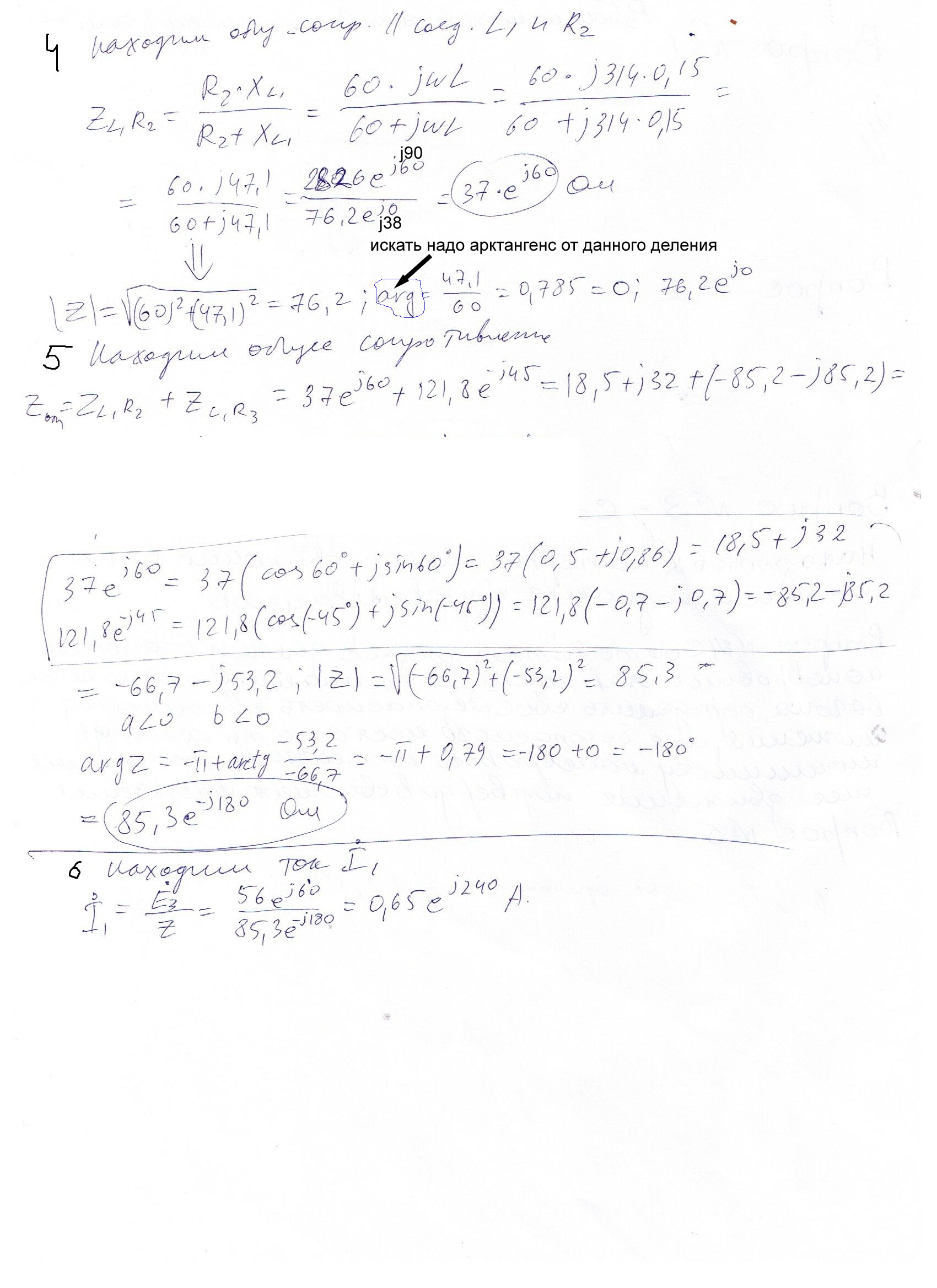
Чтобы видеть ссылки войдите на конференцию или зарегистрируйтесь. ---- собственно сама загвоздка
Чтобы видеть ссылки войдите на конференцию или зарегистрируйтесь. ----- вот этому как я предполагаю j равна?? тогда чему равен х
ВМ была давно поэтому смутно помню все эти комплексные числа

Загрузка. Подождите...



















, ибо это бред 
Задача будет решаться далее просьба пока не убивать тему.
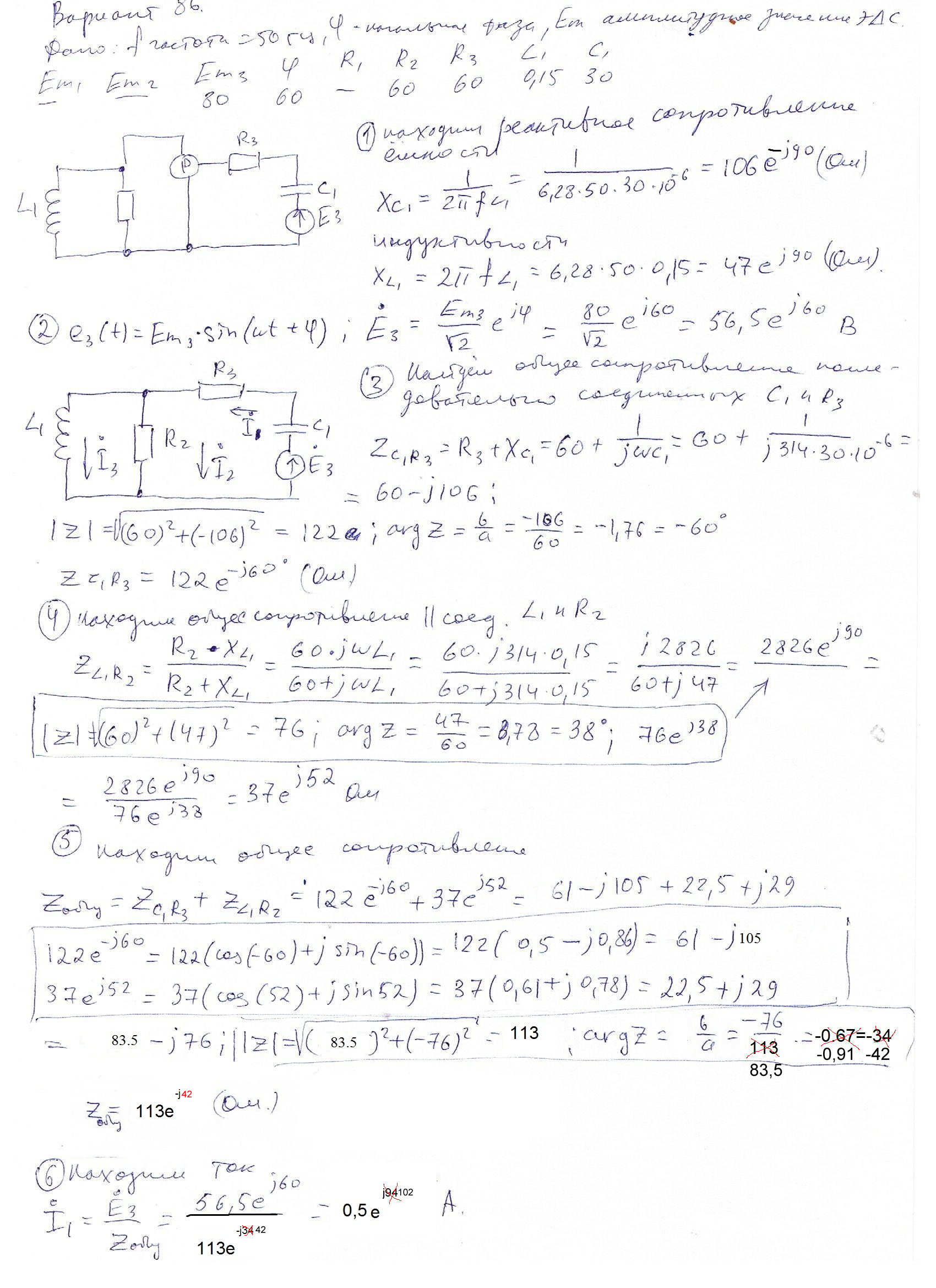
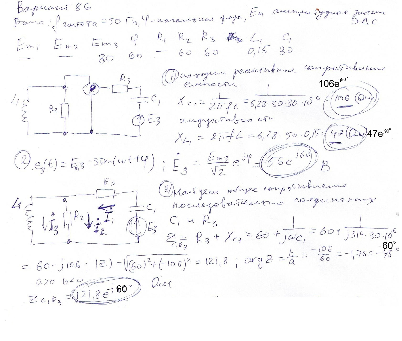
Прошу извинить - температура, голова не очень варит. Неправильный расчет предоставил. Теперь правильный. Можно качнуть и глянуть...
, сейчас пересчитаю все заново ну а так процесс нахождения токов верен как я понимаю?
А посему высылаю исправленный лист№1. Остальные листы посмотрел - методики расчета и построения правильные.Но из-за первого листа придется перерасчитать и перестроить график.
. Сейчас редко кто сам решает. Всё больше как-то покупают...